F.A.Q. to REAL
Меню сайта
Категории каталога
Математика
Математический анализ, геометрия, алгебра, всё тут.
Иностранные языки
Английский, немецкий, французский и даже латынь присутствуют в газделе горячих блюд FAQtoREAL.
Физика
Ну тут промахнуться сложно я полагаю ))
Литература
Тут литературим по полной госпада :)
Разное
Всё что не вошло куда либо находит своё пристанище здесь.
Начертательная геометрия
Статьи по начерталке
Химия
Наш опрос
С помощью какой поисковой системы вы нашли этот сайт (FAQtoREAL)?
Всего ответов: 285
Главная » Статьи » Учёба » Математика

Взаимное расположение двух плоскостей.
  Взаимное расположение двух плоскостей
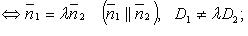
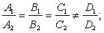
Еслито они:
1) пересекаются
2) параллельны (но не совпадают)
3) совпадают
Если плоскости заданы уравнениямиито случаи 1 - 3 имеют месло, когда:
1)
2)
3)
Категория: Математика | Добавил: P1on3R (07.05.2008)
Просмотров: 917 | Комментарии: 3
Всего комментариев: 3
1 Skazka  
0
cry не показываются рисунки
Ответ: исправлено

2 Танюша  
0
Ничего не понимаю...объясните немного проще...надо подготовится...а я просто ноль! Это что тут написано в 11 классе надо знать или это для института?
Ответ: Оу, я уж не помню, давно это было. Помоему это институтская программа первого курса физмата. Ну тоесть чуть углублённая школьная программа. Так что должно подойти если по названию подходит.

3 P1on3R  
-1
неа вот я как щас помню что в школе, (а учился я в 57)мы такую мутку не проходили вот именно в первом семестре первого курса

Добавлять комментарии могут только зарегистрированные пользователи.
[ Регистрация | Вход ]
Форма входа
Поиск
Друзья сайта
на хостинг
ЯндексЯндекс. ДеньгиХочу такую же кнопку

Карта СБ 5469 3200 1003 9563
Статистика

Онлайн всего: 1
Гостей: 1
Пользователей: 0
Copyright MyCorp © 2026